कई तो अंगद के पैर की तरह सालों से एक ही थाने में जमे थे! तो कई अपने कारनामों के लिए चर्चित थे !


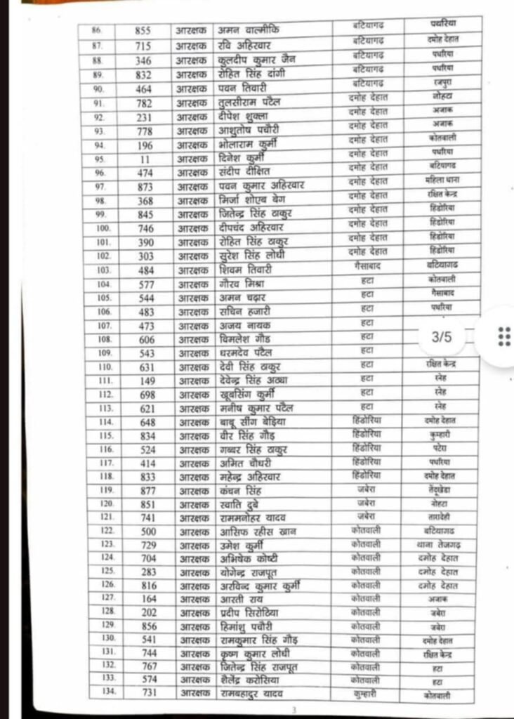
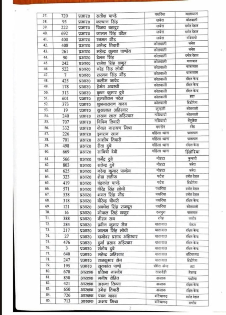
दमोह (अनुराग हजारी ) ! गत दिवस 3 थाना प्रभारी समेत 28 पुलिस कर्मियों की पदस्थापना में फेरबदल के बाद अब करीब 185 पुलिस कर्मियों की तैनाती में फेरबदल किया है ! इनमें से कई तो अंगद के पैर की तरह सालों से एक ही थाने में जमे थे! तो कई अपने कारनामों के लिए चर्चित थे! एसपी श्रुतकीर्ति सोमवंशी ने दिन पहले 3 थाना प्रभारी, 1 चौकी प्रभारी, 2 एएसआई, 6 प्रधान आरक्षक और 16 आरक्षकों का जिले के प्रभारी मंत्री इंदर सिंह परमार के अनुमोदन के बाद आदेश जारी किया गया। जिसमें थाना प्रभारी तारादेही राजीव पुरोहित को चौकी सिंग्रामपुर भेजा गया है। नोहटा थाना प्रभारी अरविंद सिंह ठाकुर को थाना तेजगढ़ और तेजगढ़ थाना प्रभारी अभिषेक पटेल को थाना नोहटा में तैनात किया गया है। चौकी प्रभारी सिंग्रामपुर आलोक तिरपुड़े को तारादेही थाना का प्रभारी बनाया गया था। वहीं एएसआई राधे प्रसाद को थाना मडियादो से थाना रजपुरा और एएसआई संतोष तिवारी को कोतवाली से रक्षित केंद्र में पदस्थ किया गया। प्रधान आरक्षकों में भानु उपाध्याय को मडियादो से दमोह देहात, महेश यादव को यातायात से कोतवाली, सूर्यकांत पांडे को कोतवाली से रक्षित केंद्र भेजा गया था। प्रमोद चौबे को कोतवाली से पटेरा, अजय पटेल को दमोह देहात से तेजगढ़ और सूरज सिंह लोधी को नोहटा से रक्षित केंद्र में तैनात किया गया था। इसके अलावा 16 आरक्षकों को भी जिले के विभिन्न थानों और चौकियों में नई तैनाती दी गई थी। इनमें संकेत कुमार तिवारी, प्रियंका दुबे, प्रताप सिंह ठाकुर, कपिल तिवारी, बृजेंद्र मिश्रा, विशाल सैनी, इंद्रजीत ठाकुर, नागेंद्र सिंह ठाकुर, दीपक गौड़, नरेंद्र पटेरिया, आकाश पाठक, जितेंद्र पटेल, यशवंत सिंह और कमलेश पटेल शामिल हैं। अब एसपी ने जो नई 185 पुलिसकर्मियों की नई तबादला सूची जारी की है उनमें 10 सहायक उप निरीक्षक, 69 प्रधान आरक्षक व कई दर्जन आरक्षकों के नाम शामिल हैं ! इनमें से अधिकांश लंबे वक्त से एक ही थाने में पदस्थ थे जबकि कई अपने कारनामों को लेकर चर्चित थे इनमें से कई को शिकायतों के चलते पहले भी हटाया गया था किन्तु वे अफसरों की कृपादृष्टि तो कई नेताओं की सिफारिश पर उसी थाने में पदस्थ हो गए थे! जिन सहायक उप निरीक्षकों के तबादले किए गए हैं उनमें सुंदर लाल अहिरवार हटा से जबेरा , नागेंद्र से परिहार हटा से नोहटा , रामकुमार सिंह ठाकुर हटा से रजपुरा , राधे प्रसाद खंगार मडियादो से यातायात दमोह , हरिश्चंद्र दुबे रजपुरा से यातायात दमोह , छोटेलाल अहिरवार रजपुरा से यातायात दमोह , खज्जी सिंह गौड़ यातायात दमोह से रक्षित केंद्र , कमलेश सैनी यातायात दमोह से रक्षित केंद्र , देवी प्रसाद अहिरवार यातायात से दमोह से हटा व माधव प्रसाद राय नोहटा को हटा पदस्थ किया गया है !

पुलिस मुख्यालय ने भी जारी किए थे आदेश.. ……
पुलिस मुख्यालय भोपाल ने अपने पत्र क्रमांक पुमु / 3 / कार्मिक / 1520 / 2025 दिनांक 10. 6.2025 के द्वारा प्रदेश के समस्त पुलिस अधीक्षकों को पत्र लिखकर लंबी अवधि से थाना में पदस्थ पुलिसकर्मियों को समय-समय पर स्थांतरित करने किए जाने हेतु निर्देशित किया गया था इसी तारतम्य में एसपी ने उक्त कर्मचारियों को प्रशासनिक दृष्टि से अस्थाई रूप से आगामी आदेश तक तत्काल प्रभाव से वर्तमान पद स्थापना स्थल से नवीन पदस्थापना स्थल पर स्थानांतरित किया है!




ये आ सकती है समस्या…….
जिले में लंबे समय से विभिन्न स्थानों में पदस्थ आरक्षकों और प्रधान आरक्षकों के तबादले भले नियम प्रक्रिया के तहत आवश्यक थे पर इसका एक असर स्थानीय थानों की कार्य प्रणाली पर भी देखने को मिल सकता है इसके पीछे मुख्य कारण बताया जाता है कि स्थानीय अपराधी तत्वों , वारंटियों और निगरानीशुदा बदमाशों की पहचान और क्षेत्र में चलने वाली अवैध गतिविधियों की जानकारी स्थानीय थाने में लंबे समय से पदस्थ पुलिस कर्मियों को भली भांति थी किंतु अब जब थानों में नया स्टाफ आएगा तो उसे थाना क्षेत्र के अपराधियों की पहचान सहित और भी कई प्रकार की समस्याओं से महीनो जूझना पड़ सकता है!
जिले में दो दो एएसपी एस पी ने किया काम का बंटवारा…………..

जिले में ऐसा पहली बार हुआ है कि एक साथ दो दो एएसपी पदस्थ हैं मध्य प्रदेश शासन गृह विभाग मंत्रालय वल्लभ भवन के आदेश के अनुसार 27 मई 2025 के परिपालन में पुलिस मुख्यालय ने आदेश जारी कर श्री सुजीत सिंह भदौरिया को अतिरिक्त पुलिस अधीक्षक दमोह के पद पर पदस्थ किया है जबकि पूर्व से दमोह में पदस्थ अतिरिक्त पुलिस अधीक्षक संदीप मिश्रा का यहां जिले से अन्यत्र स्थानांतरण आदेश नहीं होने से अब जिले में दो अतिरिक्त पुलिस अधीक्षक पदस्थ हैं! वहीं एसपी ने आगामी व्यवस्था तक दोनों अतिरिक्त पुलिस अधीक्षकों के बीच कार्यों का बंटवारा कर दिया है ! एएसपी संदीप मिश्रा को अनुभाग हटा व तेंदूखेड़ा का पर्यवेक्षण कार्य सौंपा गया है तो वही श्री एएसपी श्री सुजीत सिंह भदोरिया को नगर पुलिस अधीक्षक दमोह तथा अनुभाग पथरिया का पर्यवेक्षक कार्य के साथ-साथ आहरण एवं संवितरण अधिकारी के समस्त कार्य एवं समस्त नोडल अधिकारी के कार्य एवं कार्यालयीन कार्य एवं पर्यवेक्षण का कार्य सौंपा गया है !
